题目如下:

首先, 对于上图的Q2这种PNP型的Q2三极管作为低端开关控制,是 极其不推荐的,很容易出问题 。在上图的用法中,无论STANDBY管脚输出0/3.3V,发射结始终正偏,集电极始终反偏,所以 三极管Q2不会处于饱和区和截止区,而是 一直处于放大区 。
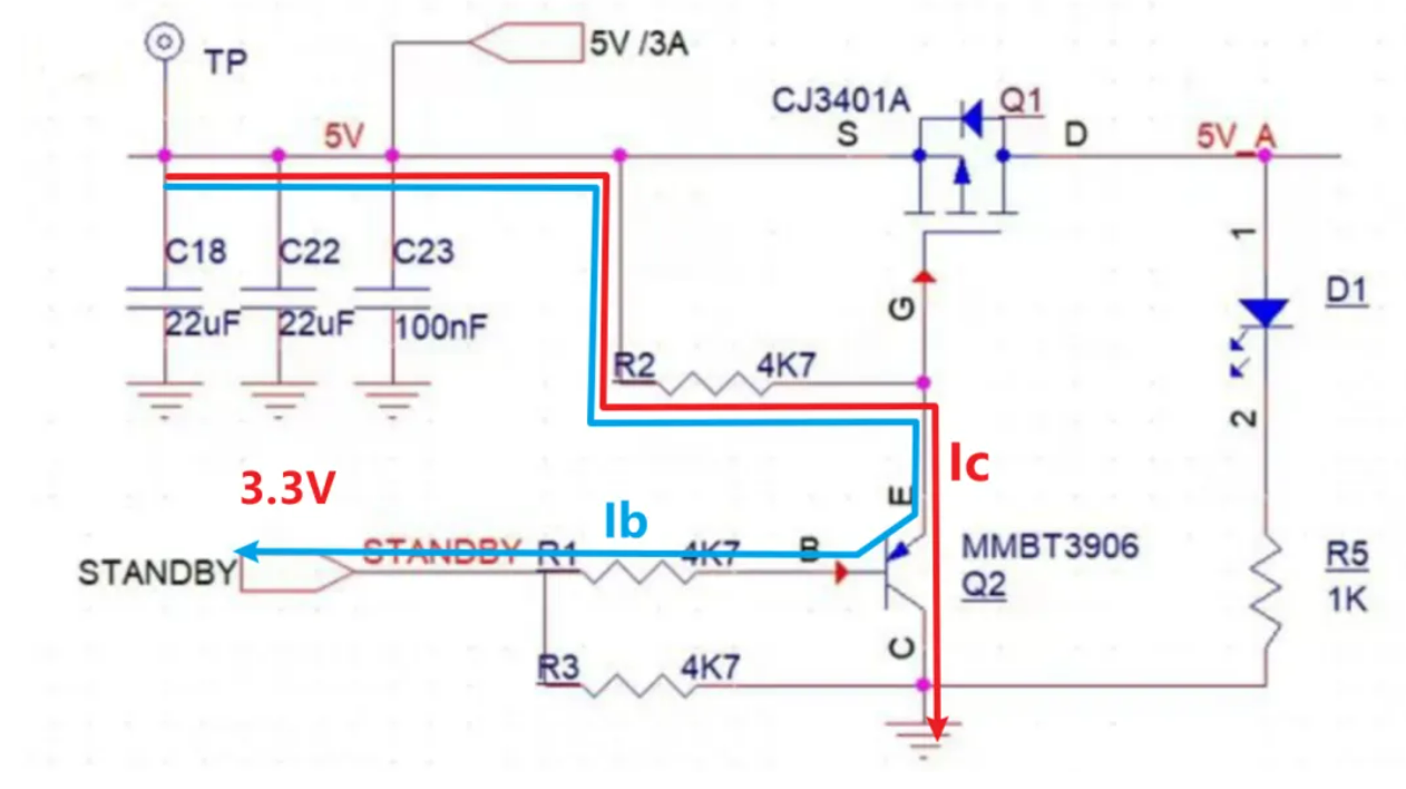
问题1:5V_A在STANDY = 0V时,输出多少V电压?最大电流为多少A?
当STANDY = 0V时,电流路径如下所示,图中蓝色为基极电流Ib,红色为发射极电流Ic:

根据基尔霍夫电压定律,有下面公式:
Ie*R2+Vbe+Ib*R1 = 5V
由于三极管Q2处于放大区,Ic=β*Ib,所以等式为:
Ib*(β+1)*R2 + Vbe + Ib*R1 = 5V
假设三极管Q2的Vbe = 0.7V(绝对值),β = 100,代入上式,求得:
Ib ≈ 9uA,Ic ≈900uA,Ie≈909uA。
那么此时Vgs = -Ie*R2 = -4.27V,再查看CJ3401A的规格书,其导通阈值电压Vgs(th)最大值为 - 1.3V,所以满足MOS管Q1导通条件,输出电压为5V。

最大输出电流可以根据MOS管规格书内的输出特性曲线获得,看样子输出电流可以在2A左右(Id电流再大,Vds会变大可能MOS管功率遭不住P=Id*Vds) 。


问题2:5V_A在STANDY = 3.3V时,输出多少V电压?最大电流为多少A?
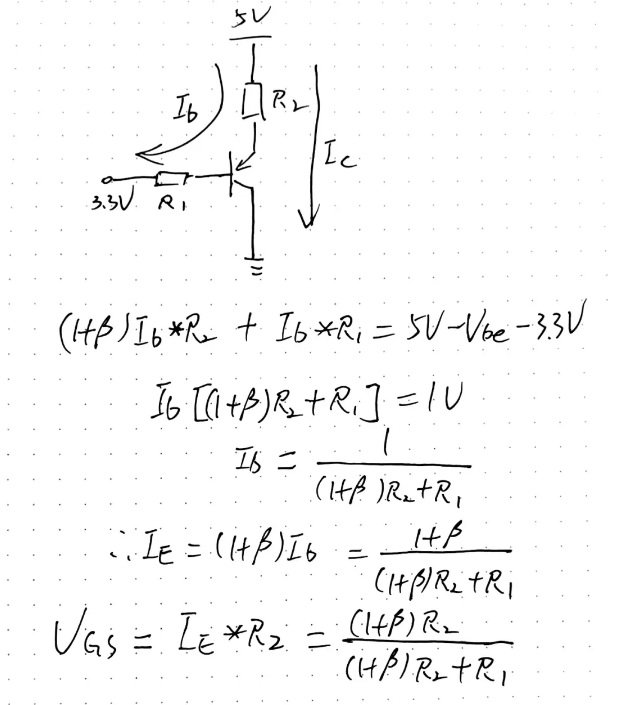
这个分析过程和问题一类似,当STANDY = 3.3V时,三极管Q2仍然处于放大状态,电流路径和问题一一样,下图红色为Ic集电极电流路径,蓝色是基极电流路径。

根据基尔霍夫电压定律,有下面公式:
Ie*R2+Vbe+Ib*R1 = 5V - 3.3V
由于三极管Q2处于放大区,Ic=β*Ib,所以等式为:
Ib*(β+1)*R2 + Vbe + Ib*R1 = 1.7V
假设三极管Q2的Vbe = 0.7V(绝对值),β = 100,代入上式,求得:
Ib≈2.1uA,Ic≈210uA,Ie=Ib+Ic≈212uA
那么此时Vgs = -Ie*R2 ≈ -1V,通过仿真也可以大致验证:

再查看CJ3401A的规格书,其 导通阈值电压Vgs(th)最小值为 - 0.7V,最大值为- 1.3V 。 所以如果做成产品,会造成两种情况,导通阈值Vgs(th)区间处于-0.7V~-1V的PMOS会处于导通区或者线性区,而-1V~-1.3V的PMOS可以处于截止区。

那么也就是 如果Q2的PMOS的导通阈值Vgs(th)参数区间处于-0.7V~-1V,无论STANDY是0V或者3.3V都无法关断。 这种情况下,负载电流小的时候(可能几十mA)输出电压为5V,MOS处于导通区。当负载再大,MOS将变为恒流区,此时Vds会变大,所以输出电压会不足5V。
问题3:如果板子已经量产贴片,是否能满足5V_A开关要求?有什么改进的地方?
通过问题二分析可知,PMOS的导通阈值(绝对值)大于1V的可以满足开关要求。小于1V的无法满足开关要求。
改进措施1:
将PNP型三极管更换为NPN型三极管,不过这种解决方案需要改PCB。(如果直接换NPN不改PCB的话,发射极和集电极反掉)如下图所示:

改进措施2:
更换一颗导通电压更高的PMOS,例如最小导通电压(绝对值)为1.5V,那么就算三极管Q2处于放大区,那么Vgs也无法达到开启电压,也就可以实现PMOS的正常开关了。(这种方法不需要更改PCB)
改进措施3:
增大R1电阻(不过这样改会导致在STANDBY=0V时,MOS管Q2的驱动电压Vgs也变小)。
例如将R1加到470k,那么再根据公式推算,可知此时Ib电流降低至1uA,那么发射极电流也就基本为100uA左右,那么Vgs就降低为了0.47V,那么也就达不到PMOS的开启条件了。仿真也可以验证:

既然改大R1有用,那么 改大R2能否有用呢? 答案是 改R2并没有用 。因为通过推导可以知道 Vgs和R1是直接相关的,把R2改大,Vgs仍然会是-1V左右 ,推导公式如下 :

通过仿真也可以看出,改大R2并没有什么作用,将R2改为470k后,Vgs仍然为-1V左右:

总结:切记不要这样用三极管。#中秋月圆社区团圆##嘉立创PCB#


登录 或 注册 后才可以进行评论哦!
还没有评论,抢个沙发!