电容、电阻、电感作为三大基本无源器件,构成了纷繁芜杂的电子世界基础,本期我们就来探究一下当RCL电路各一个的时候,他们到底能组成多少种无源滤波网络,注意即便是同一网络,参数不同所得到的幅频特性曲线也是不一样的,这点在文末会解释。



对于RCL并联的方案来说,电路中总共存在着两个采样点,采样点不同不同,则对应的网络滤波功能完全不同,下面让我们仔细分析各网络的特点。
其实就是考虑各个点的分压状况,因此总共的组合如下:

一

LR并联分压的情况,其传递函数如下所示:


他是一个高通滤波器,频率特性曲线是逐步上升的。
二

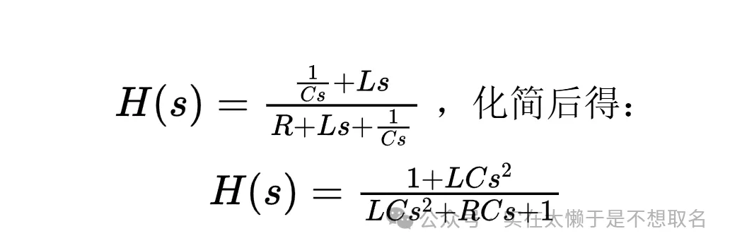
相比于方案1,该方案改变了采样点的位置,让我们看看他的传递函数是什么吧:

这个函数的传递函数是一个同阶的传递函数:

这个点为电路谐振点,即LC串联网络阻抗最低点。
三
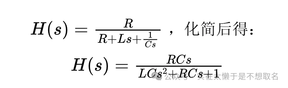
接着我们改变一下器件位置:

该电路的传递函数如下所示:

幅频特性曲线如下所示,截止频率相对较高:

它是一个低通滤波器。
四


和基础题提供给我们的传递函数类似,他的幅频特性曲线如下图所示:

它是一个低通滤波器。
五


其幅频特性曲线图如下所示:

它是一个带通滤波器类型随着频率越靠近谐振点,LC的阻抗越大,随后减小。
六

其传递函数如下所示:


它是一个高通滤波器。


登录 或 注册 后才可以进行评论哦!
还没有评论,抢个沙发!