
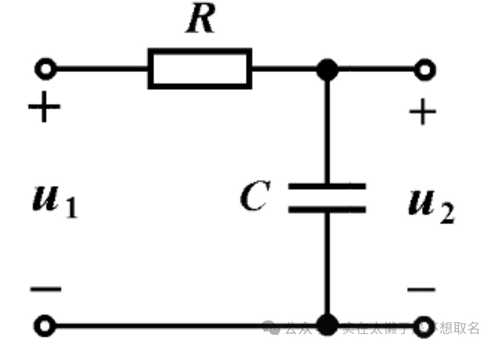
这个电路想必大家并不陌生吧,一个一阶无源低通滤波器,也是非常经典的RC电路, 其中有一个非常重要的公式:

这个公式表明了该电路的截止频率,不过这些年学校的大部分内容都是自学,学校的模电教的也十分粗浅,近日在复习《自动控制理论》的时候又学到了关于电路的幅频特性的关系,于是把该电路推导了一遍。
突然间知识就都串联起来了。
首先我们需要明白,为方便起见,我们的电容在复频域中可以用

该式子来表示容抗,其中w为工作频率,j为虚数单位,这个式子也可以解释电容通高频阻低频的原因。
频率越高,jwC越大,容抗越小,相反则是容抗越大。
在此基础上,我们可以把电容两端的电压式子列出来。

其实就是一个分压电路公式,把电容的容抗和电阻的阻抗并联,算电容的容抗分压系数。想必这个式子是非常容易理解的。
对这个式子进行简化得

我们记函数Uo/Ui这个式子也叫做传递函数为

这个式子也就是反映了输出和输入之间的关系。
我们对这个式子取模来获得他的放大倍数。

也就是分子分母的实部平方和虚部平方之和的根号值。虚数单位j变成了-1并且由于是平方就省略了。
从这个式子可以看出,电路的放大倍数随着频率(w)的上升而下降。
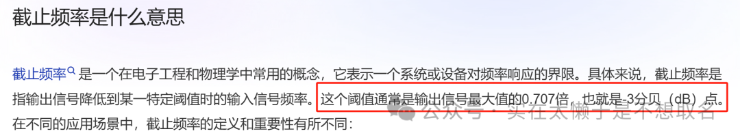
那么这个式子和我们文章开头的式子有什么关系呢?这里就需要提一下截止频率的概念。

当输出信号幅度下降到输入信号幅度的0.707倍也就是-3DB的频率点即为截止频率,因此我们用0.707(约为根号2/2....1.414/2)带入式子反解出频率。

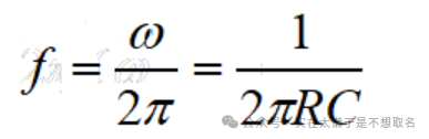
但是这个式子还是差了一步,这里的频率代表着角频率,用的是弧度制,我们需要将其转换为常用的频率。

由此就可以证明得到这个式子。
最近学了很多很多的基础知识,主要是自动控制理论,深深觉得自己理论方面的不足,越是深入的学习越是被知识的神奇而深深吸引,也是希望读者在学习技术之余多多夯实基本功。


登录 或 注册 后才可以进行评论哦!
还没有评论,抢个沙发!