之前我们推导过了一阶无源滤波器的公式推导,将所学数学知识和电路知识相结合对比,本期我们将结合数学推导以及电路仿真来推导二阶无源滤波器。
我们以经典的二阶无源滤波器为例,电路图如下:

在复频域中我们来计算输出和输入的传递函数。

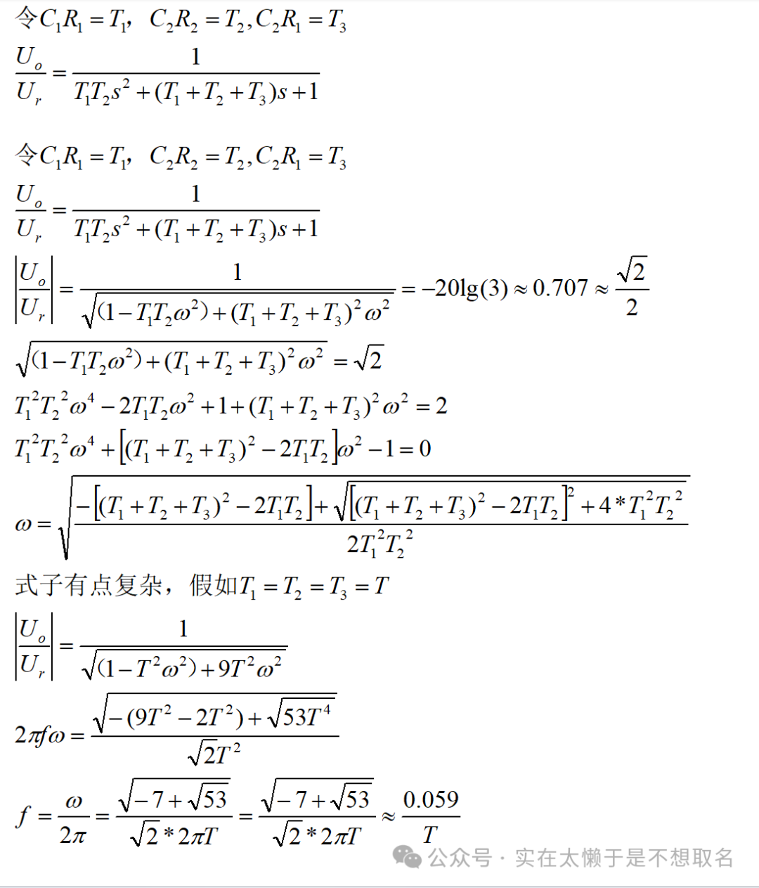
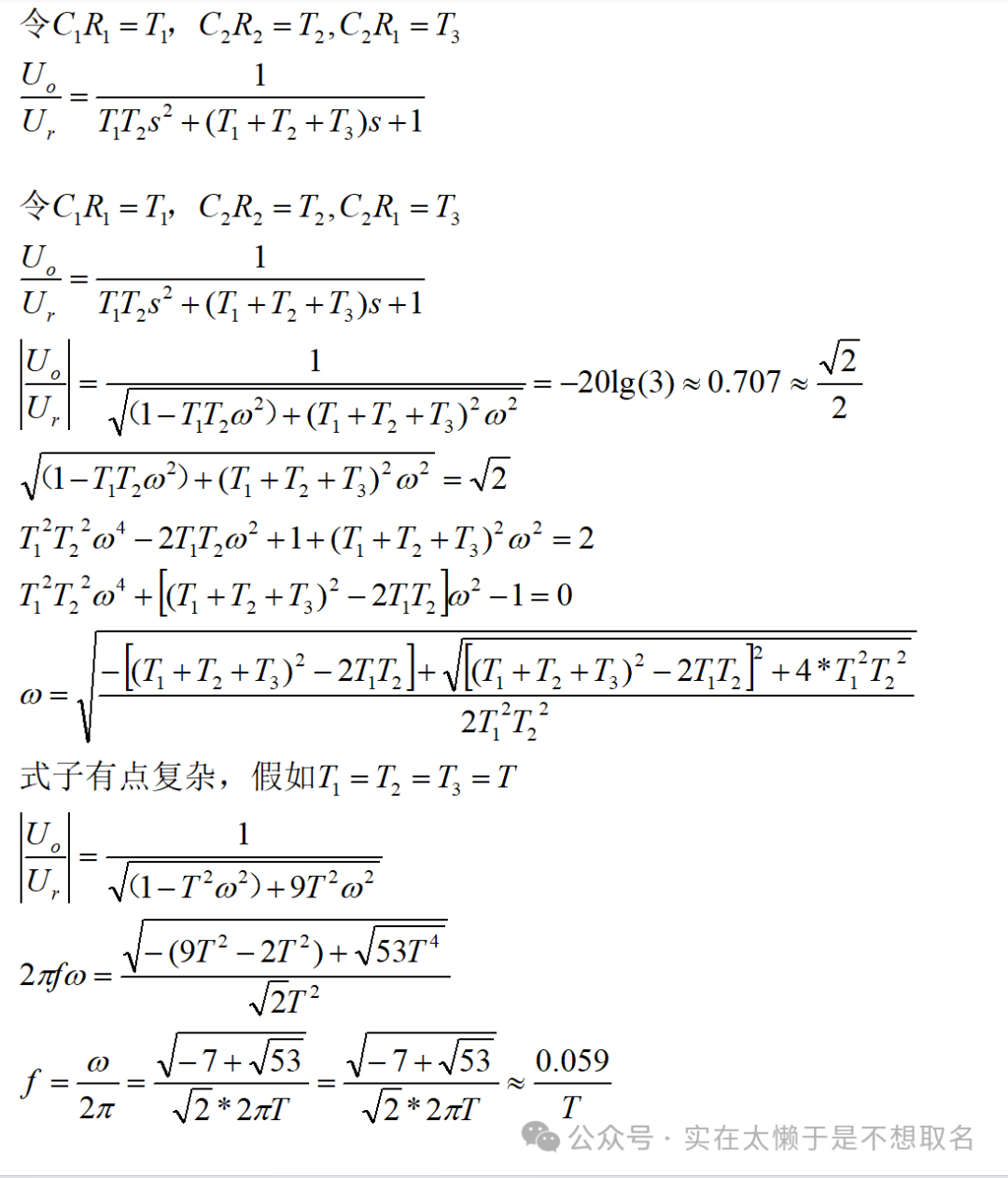
接着我们整理一下式子。


这样子我们就可以获得二阶无源滤波器的传递函数了,这里也可以看出来为什么这个是二阶系统,由于传递函数中,分母的最高阶数为2,于是这是一个二阶系统。
我们接着计算一下他的模值和相角。

等会我们都可以用仿真看一下,我们再根据模值和截止频率的定义来求系统的截止频率。


这里我倒是有一个疑问,因为我记得二阶滤波器的公式不是这样子的,也不是很麻烦,自己推导的公式和我搜索的一些资料中的二阶公式好像有区别,当然看这个公式倒是能猜出来一点,不过接下来我们仿真试一下,当然以前也没有推到过,所以也不知道这个公式是哪里来的。

我们取电阻100K,电容0.1uF,且R1 = R2,C1 = C2使得T1=T2=T3=0.01,来验证一下我们的公式。
根据我们的计算,截止频率f = 5.9,相角趋于-180,我们使用Multisim的AC Sweep扫频获得Bode图即 幅度频率特性曲线和相位频率特性曲线 。
可以看到,随着频率的增加,相位逐渐的靠近-180°,接着我们找一下-3dB的点,由于我的刻度采用的对数坐标,所以直接寻找y=-3对应的x即可。
可以看到-3dB对应的频率点约为5.9HZ,仿真与理论一致。
接着我们测试一下指定频率下的幅度变化。
假设频率为100HZ,Varm = 1V

因此 理论的幅度为0.023V,即23mV 。

仿真的结果也符合理论的结果。
所以也不知道那个二阶公式是哪里来的,在一些博客上倒是看到有些博主说这个二阶电路的公式是那个,对此深表怀疑。
后来又陆陆续续推导了一些组合。但是依旧没有推导出这个公式,怀疑这个公式是有源结构(SK)公式推演。






登录 或 注册 后才可以进行评论哦!
还没有评论,抢个沙发!